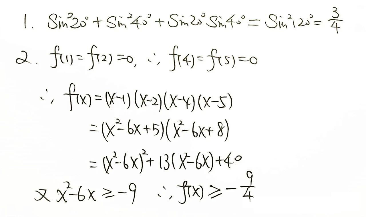
2025年西安交通大学强基计划校测初试考试于6月12日圆满举行。考试结束后,易单招网小编整理了部分试题答案,为广大考生提供考后估分参考!考生可及时查阅核对,助力后续备考规划。


微信识别二维码 关注官方公众号
易单招
微信账号:danzhaobang 复制
易单招合作热线
15996434567
周一至周日:9:00-21:00
2013-2026 易单招,All Rights Reserved.|苏ICP备18060098号-16 |
苏公网安备
50019002502480号
公司地址:南京市栖霞区栖霞街道广月路30-06号

报名咨询
官方微信
